Mailing List CyrTeX-ru@vsu.ru Message #2859
From: Karlsson Karl <CyrTeX-ru@vsu.ru>
Subject: Re: Выравнивание формулы с переносом
Date: Sat, 26 Mar 2011 16:29:41 +0300
To: Cyrillic TeX Users Group <cyrtex-ru@vsu.ru>
Не совсем понял что надо получить, но вот как я понимаю это:
http://pastebin.com/P0CsH5C7
Написал на пейстбин, так как почта не всегда делает переносы как надо.
Как оно выглядит после компиляции см. прикрепленный файл.
Не все идеально, но где то подходит...

Ошибки возникают, потому что у вас спагетти код.
http://ru.wikipedia.org/wiki/Спагетти-код
Писать, читать и понимать такой код крайне неудобно.

Воронцов К.В. LaTeX2e в примерах. 2005, 55 с.
http://www.ccas.ru/voron/download/voron05latex.pdf
Лучше прочитать его с начала до конца но сначла
посмотреть на "3.14 Определение новых команд" на с. 22

Так, еще имеются какие то типографские правила писания формул.
Не пишутся формулы кому как захочется.

Swanson E., O'Sean A. Mathematics into Type
http://rghost.net/4938809
http://www.onlinedisk.ru/file/633820/

26.03.2011, 09:15, "Mihail E. Semenov" <CyrTeX-ru@vsu.ru>:
> 26.03.2011, 08:07, "Константин Михайленко" <CyrTeX-ru@vsu.ru>;:
>
>>  http://latex.tostudents.ru/2010/06/22/mnogostrochnye-formuly-v-latex-okruzhenie-split/
>>
>>  Цитирую:
>>  выравнивание задается при помощи знака &, стоящего перед символом, по
>>  которому следует выравнивать строку
>
> Константин, спасибо. Получилось.
> Посмотрел рекомендованный Вами сайт.
>
> Уважаемые ТЕХники!
> Но не могу выбрать окружение (попробовал align) для работы с системой. Окружение align не хочет рабоать со split.
> Делаю вот так:
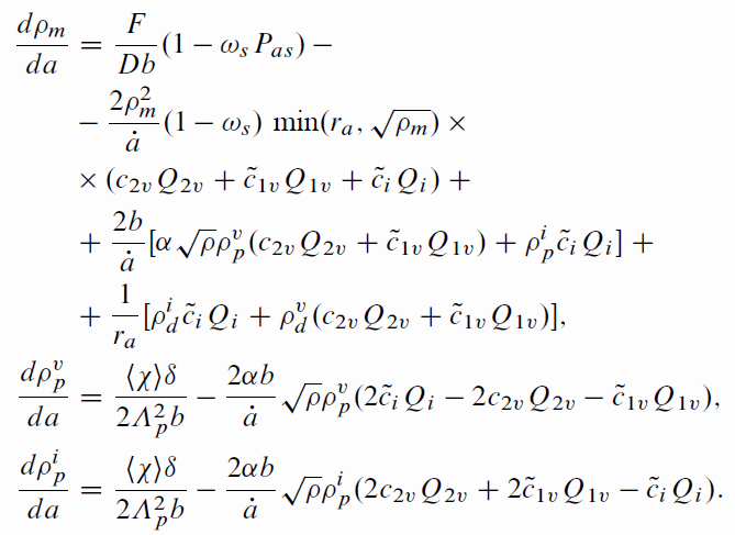
> \begin{align}\label{eq20}
> %\begin{split}
> \displaystyle\frac{d\rho_m }{da}&=\left({1-\omega_s P_{as} }
> \right)\frac{F}{Db}-\\
> &%\quad
> -\frac{2}{\dot{a}}\left({1-\omega_s}
> \right)\rho^2_m \min (r_a, \rho _m^{-1/2})\times \\
> &%\quad
> \times \left(c_{2v} Q_{2v} +\tilde{c}_{1v} Q_{1v}+\tilde{c}_i Q_i\right)+ \\
> &%\quad
> +\frac{2b}{\dot{a}}(\alpha\sqrt{\rho}(\rho^v_p(c_{2v}
> Q_{2v} +\tilde{c}_{1v} Q_{1v})+\rho^i_p\tilde{c}_i Q_i) + \\
> &%\quad
>  +\frac{1}{r_a} (\rho_d^i \tilde{c}_i
> Q_i+\rho_d^v(c_{2v}
> Q_{2v} +\tilde{c}_{1v} Q_{1v})), \\
> %\end{split}
> %\end{equation} %(2.5.2)
> %\begin{equation}\label{eq30}
> %\begin{split}
> \frac{d\rho_p^v}{da}=&\frac{\langle\chi\rangle\delta}{2\Lambda_p^2
> b}-\frac{2\alpha b}{\dot{a}}\sqrt{\rho}\rho^v_p(2\tilde{c}_i Q_i
> \!-\!2c_{2v}Q_{2v}\!-\!\tilde{c}_{1v}Q_{1v}),\\
> %\end{split}
> \frac{d\rho _p^i }{da}&=\frac{\langle\chi\rangle\delta}{2\Lambda
> _p^2 b}-\frac{2\alpha
> b}{\dot{a}}\sqrt{\rho}\rho^i_p(2c_{2v}Q_{2v}\!+\!2\tilde{c}_{1v}Q_{1v}\!-\!\tilde{c}_iQ_i),
> \end{align}
>
> При этом не выранять уравнения в системе отностильно знака "=", кроме этого нумерация лишняя.
> --
> С уважением
> Семенов Михаил
>
> ================================================
> CyrTeX-ru mailing list Archives and Information:
> https://info.vsu.ru/Lists/CyrTeX-ru/List.html
Subscribe (FEED) Subscribe (DIGEST) Subscribe (INDEX) Unsubscribe Mail to Listmaster