Mailing List CyrTeX-ru@vsu.ru Message #2855
From: Mihail E. Semenov <CyrTeX-ru@vsu.ru>
Subject: Выравнивание формулы с переносом
Date: Sat, 26 Mar 2011 08:00:21 +0300
To: Cyrillic TeX Users Group <cyrtex-ru@vsu.ru>
Уважаемые ТЕХники!

В 2-х колоночном тексте есть формула, которая располагается на двух строках.

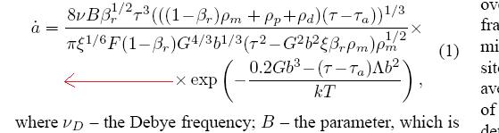
\begin{equation}
\begin{split}
\dot{a}=\frac{8\nu B\beta_r^{1/2} \tau^3 ({((1\!-\!\beta _r)\rho
_m +\rho_p\! +\!\rho _d )(\tau\! -\!\tau_a )})^{1/3}}
{\pi\xi^{1/6}F(1\!-\!\beta _r )G^{4/3}b^{1/3}(\tau^2\!-\!G^2b^2\xi
\beta_r\rho_m)\rho_m ^{1/2}}
\times \\
\quad \times\exp \left( {-\frac{0.2Gb^3\!-\!(\tau \!-\!\tau _a
)\Lambda b^2}{kT}} \right),
\end{split}
\end{equation}

Нужно выровнять выражение в скобках на второй строке по знаку "=".
Пробовал писать \dot{a}&=&... , \dot{a}=&..., \dot{a}&=....
  
--
С уважением
Семенов Михаил
Attachment 
(19K)

Subscribe (FEED) Subscribe (DIGEST) Subscribe (INDEX) Unsubscribe Mail to Listmaster