Mailing List CyrTeX-ru@vsu.ru Message #2686
From: Mihail E. Semenov <CyrTeX-ru@vsu.ru>
Subject: Верстка без уменьшения размера
Date: Mon, 17 Jan 2011 19:22:43 +0300
To: <cyrtex-ru@vsu.ru>
Уважаемые Техники!

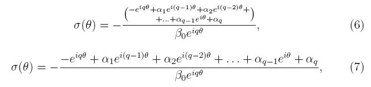
верстка для текста (одна колонка)
\begin{equation}\label{eq6}
\sigma(\theta)=-\frac{- e^{i q\theta} + \alpha_1 e^{i
(q-1)\theta}+\alpha_2 e^{i (q-2)\theta}+\ldots+\alpha_{q-1} e^{i
\theta}+\alpha_q} {\beta_0 e^{i q\theta}},
\end{equation}

верстка для текста (две колонки)
\begin{equation}\label{eq6}
\sigma(\theta)=-\frac{\binom{- e^{i q\theta} + \alpha_1 e^{i
(q-1)\theta}+\alpha_2 e^{i (q-2)\theta}+}{+\ldots+\alpha_{q-1}
e^{i \theta}+\alpha_q}}{\beta_0 e^{i q\theta}},
\end{equation}

Как еще можно провести верстку для двух колонок, но так чтобы размер текста не уменьшался?
Использовать матрицы (вектор-столбцы)?
--
С уважением
Семенов Михаил
-
Attachment 
(14K)

Subscribe (FEED) Subscribe (DIGEST) Subscribe (INDEX) Unsubscribe Mail to Listmaster